Analyser fokuserer på aktuelle emner, som er særlig relevante for Nationalbankens formål. Analyserne kan også indeholde Nationalbankens anbefalinger. Her finder du bl.a. vores prognose for dansk økonomi og vores vurdering af den finansielle stabilitet. Analyser henvender sig til dig, der har en bred interesse for økonomiske og finansielle forhold.
Det vedvarende fald i forbrugskvoten: årsager og drivkræfter
Forbrugskvoten er faldet markant siden 2019 og ligger nu på et historisk lavt niveau. Faldet i forbrugskvoten er særligt drevet af yngre og ældre husholdninger. Udviklingen bryder med de hidtidige sammenhænge mellem forbrug, indkomst, formue og ledighed og kræver derfor nye forklaringer. Analysen peger på, at øget usikkerhed og mere pessimistiske forventninger er centrale drivkræfter. Fremadrettet vil udviklingen i forbruget derfor bl.a. afhænge af de globale forhold, og hvordan husholdningerne forholder sig til usikkerheden i relation dertil.
Hovedbudskaber
Hvorfor er det vigtigt?
Privatforbruget udgør en stor del af den indenlandske efterspørgsel, og dermed er det en vigtig faktor at forstå, når økonomiens aktuelle tilstand skal vurderes. De seneste år har udviklingen i forbruget været svag, når der tages højde for udviklingen i indkomster, og det er essentielt at komme til bunds i årsagerne til det afdæmpede forbrug for at underbygge Nationalbankens prognoser for dansk økonomi.
Hovedfigur
Forbrugskvoten er historisk lav
Anm.:
Seneste observation er 4. kvartal 2025 for privatforbrug og 3. kvartal 2025 for disponibel indkomst og forbrugskvote.
Kilde:
Danmarks Statistik og egne beregninger.
Indledning og sammenfatning
Danske husholdninger har de senere år holdt igen med forbruget. Traditionelt forklarer udviklingen i indkomst, formue og ledighed en stor del af de løbende udsving i privatforbruget, men det har vist sig i mindre grad at være tilfældet de seneste år. Derfor analyseres andre drivkræfter bag det lave forbrug, hvor øget økonomisk usikkerhed og generel pessimisme blandt husholdningerne vurderes at spille en afgørende rolle.
Ved udgangen af 2025 lå privatforbruget blot 1,3 pct. over niveauet umiddelbart før coronaudbruddet i slutningen af 2019. Samtidig er husholdningernes samlede reale disponible indkomster steget betydeligt mere. Det har medført, at forbrugskvoten, der angiver privatforbruget som andel af den disponible indkomst, er faldet med næsten 7 procentpoint siden 2019, se figur 1. Forbrugskvoten havde ellers ligget nogenlunde stabilt gennem en årrække siden det betydelige fald efter finanskrisen i 2008. Siden 3. kvartal 2023 har forbrugskvoten stabiliseret sig på et niveau, der – bortset fra den første nedlukning under coronapandemien – ikke tidligere er set i Danmark.
Faldet i forbrugskvoten er ikke et rent dansk fænomen. Det skal ses i lyset af, at perioden siden 2019 har været kendetegnet af en række betydelige globale hændelser som coronapandemien, store udsving i inflationen, geopolitisk usikkerhed efter Ruslands invasion af Ukraine og globale handelspolitiske spændinger.1 Udviklingen har dog været mere markant i Danmark end i mange andre lande, se figur 2.2
Forbrugskvoten er primært faldet som følge af en ændret adfærd blandt husholdningerne, som er blevet mere tilbageholdende med deres forbrug. Denne adfærdsændring spiller sammen med, at husholdningerne oplever en øget usikkerhed. Samtidig har de været karakteriseret ved en pessimisme i forhold til deres økonomiske situation, som ikke er blevet afspejlet i den faktiske udvikling i de disponible indkomster. Oplevelsen af usikkerhed og pessimisme skal ses i lyset af den globale udvikling siden 2019 som nævnt ovenfor. Fremadrettet vil udviklingen i forbruget derfor bl.a. afhænge af de globale forhold, og hvordan husholdningerne forholder sig til usikkerheden i relation dertil. Fx risikerer krigen i Mellemøsten at bidrage til yderligere tilbageholdenhed som følge af højere priser på energi og generel usikkerhed om den økonomiske situation.3
Det er især de yngre husholdninger under 40 år og de ældre over 60, der har holdt igen med forbruget. Omtrent en tredjedel af faldet i forbrugskvoten kan tilskrives, at husholdninger i aldersgruppen 25-40 år har reduceret deres forbrugskvote. Det kan afspejle, at deres jobsituation er mere usikker, og at de har en længere tidshorisont med øget usikkerhed. De yngre husholdninger er således blevet markant mindre optimistiske i forhold til deres fremtidige økonomiske situation end tidligere. Halvdelen af faldet i forbrugskvoten kan tilskrives reducerede forbrugskvoter hos husholdninger fra 60 år og op. Her spiller det formentligt en rolle, at tilbagetrækningsalderen er øget. Det tilhørende løft i indkomsterne har ikke givet sig udslag i et tilsvarende løft i forbruget.
Faldet i forbrugskvoten hænger også – omend i begrænset omfang – sammen med, at indkomsterne siden 2019 er steget lidt mere for højindkomstgrupperne end for befolkningen som helhed. Det trækker ned i den samlede forbrugskvote, da husholdninger med høje indkomster er mindre tilbøjelige til at omsætte øget indtjening til forbrug end befolkningen som helhed. Det samlede bidrag til forbrugskvoten fra denne forklaring er dog næppe over 0,5 procentpoint. I relation dertil har formueindkomst de seneste år fyldt mere af den samlede indkomst, men det vurderes også kun at forklare en mindre del af faldet i forbrugskvoten, da formueindkomst samlet set udgør en begrænset andel af de disponible indkomster. Stigningen i formueindkomst er en faktor bag udviklingen i indkomstfordelingen, og det er derfor ikke muligt at adskille effekterne af disse forhold.
Der er således en række forhold, som hver især kan bidrage til at forklare faldet i forbrugskvoten siden 2019. Det er dog ikke muligt at adskille fx bidraget fra aldersgrupper fra bidraget fra øget usikkerhed og dermed give en præcis vurdering af deres størrelser. I de følgende kapitler diskuteres de enkelte forklaringer og deres betydning på baggrund af forskellige tilgange. I kapitel 2 analyseres forbruget for alle husholdninger på makroniveau. I kapitel 3 dykkes der ned i mikrodata for at analysere, om der er sket forskydninger på tværs af husholdninger, som kan forklare forbruget. I kapitel 4 opstilles en makroøkonomisk model for at give et bedre bud på, hvordan husholdningerne reagerer på ændringer i økonomien.
Forbrugskvoten har ligget meget lavt de seneste år
Anm.:
Seneste observation er 4. kvartal 2025 for privatforbrug og 3. kvartal 2025 for disponibel indkomst og forbrugskvote.
Kilde:
Danmarks Statistik og egne beregninger.
Forbrugskvoten er faldet i flere lande, men mest i Danmark
Anm.:
Forbrugskvoten er beregnet som det samlede privatforbrug som procent af disponibel indkomst for hvert land.
Kilde:
Macrobond, Eurostat, nationale kilder og egne beregninger.
Forbruget har udviklet sig svagt siden 2019
Privatforbruget har de seneste år været påvirket af betydelige stød og kan ikke forklares alene af stigningen i fx indkomst og formue på makroniveau. Overordnet kan udviklingen i privatforbruget siden 2019 inddeles i fire faser.
I første fase faldt forbrugskvoten markant, da corona brød ud i 2020. Det ramte husholdningerne på flere måder. For det første begrænsede nedlukningerne mulighederne for at bruge penge. For det andet blev husholdningernes disponible indkomster løftet af omfattende offentlige hjælpepakker. Og endelig skiftede forbruget karakter under pandemien: Husholdningerne brugte flere penge på varige varer, mens tjenesteforbruget faldt markant, se figur 3. I anden fase normaliserede forbruget sig kortvarigt efter pandemien. I tredje fase tog inflationen til i løbet af 2022, hvorefter forbruget udviklede sig svagt gennem 2023 og resulterede i den lave forbrugskvote. I fjerde fase har forbrugskvoten siden 2024 stabiliseret sig på et lavt niveau.
Udviklingen falder sammen med, at forbrugertillidsindikatoren har været negativ siden begyndelsen af 2022, se figur 4. Husholdningerne har siden da vurderet både deres egen økonomi og udviklingen i dansk økonomi mere pessimistisk end tidligere. Det kan have fået flere til at øge deres opsparing og udskyde forbrug, se mere i kapitel 4. Sammenlignet med euroområdet har faldet i forbrugertilliden de seneste år været større i Danmark. Det kan være med til at forklare det større fald i forbrugskvoten i Danmark.
Forbruget af ikke-varige varer har været faldende i flere år
Anm.:
Seneste observation er 4. kvartal 2025. Halvvarige varer har en kortere anvendelseshorisont, dog mere end ét år, og er billigere end varige varer.
Kilde:
Danmarks Statistik.
Forbrugertilliden tegner et billede af fortsat pessimistiske husholdninger
Anm.:
Seneste observation er februar 2026.
Kilde:
Macrobond og Danmarks Statistik.
Forskydningen af forbruget fra tjenester til varige varer under coronapandemien ser ikke ud til at have påvirket forbruget betydeligt på bagkant. Efter pandemien vendte forbrug af både tjenester og varige varer således hurtigt tilbage til deres tidligere tendens, se figur 3. Dermed er der ikke tegn på, at husholdningerne i stor grad har fremrykket forbrug under coronapandemien, som dermed kunne holde forbrugskvoten nede efterfølgende. Til gengæld har forbruget af ikke-varige forbrugsgoder – herunder fødevarer – været faldende, siden inflationen begyndte at stige i 2022.
Historiske sammenhænge kan ikke forklare forbrugsudviklingen de seneste år
Udviklingen i forbruget siden 2019 har været svagere, end hvad udviklingen i indkomst, formue og ledighed normalt ville indikere. Disse forhold er med til at forklare udviklingen i privatforbruget i Nationalbankens makroøkonomiske model, MONA. Beregninger herpå viser, at de historiske sammenhænge ville tilsige et højere privatforbrug, end det har været tilfældet de seneste år, se figur 5. Modellen er estimeret frem til 2019 og giver derfor et bud på, hvordan forbruget ville have udviklet sig i de efterfølgende år, hvis de historiske sammenhænge var fortsat.
Den modelbaserede beregning tager ikke højde for, at der kan ske ændringer i fordelingen af indkomst på tværs af husholdninger, og at forskellige typer af husholdninger reagerer forskelligt på indkomstændringer. Husholdninger med høje indkomster er typisk mindre tilbøjelige til at omsætte øget indkomst til forbrug end husholdninger med lavere indkomster.4 Samtidig er den disponible indkomst sammensat af både løn- og formueindkomst, og disse indkomsttyper påvirker forbruget forskelligt. Lønindkomst betyder umiddelbart mere for forbruget end formueindkomst. Det skyldes både, at formueindkomst varierer betydeligt som følge af udsving i fx renter og dividender, og at formueindkomsten i høj grad tilfalder de mere velstillede husholdninger. Forskydninger mellem indkomstgrupper og typer af indkomst kan derfor påvirke forbrugskvoten. Disse to faktorer undersøges nærmere i det følgende.
De historiske sammenhænge kan ikke forklare forbrugsudviklingen
Anm.:
MONA-modellens privatforbrugsligning er estimeret for perioden 1973 til 2019. I årene efter er forbruget beregnet (den punkterede røde linje) ud fra den faktiske udvikling i husholdningernes indkomst, formue og ledighed, hvilket overordnet er de variable, der indgår i privatforbrugsligningen. Den seneste observation er 3. kvartal 2025.
Kilde:
Danmarks Statistik, Danmarks Nationalbank og egne beregninger.
Ændret indkomstfordeling bidrager kun beskedent til fald i forbrugskvoten
Anm.:
Se boks 1 for beskrivelse af de 3 beregningsmetoder.
Kilde:
Egne beregninger.
Indkomstulighed og formueindkomst
forklarer kun i beskedent omfang den lavere forbrugskvote
Selvom indkomstuligheden er steget lidt siden 2019, forklarer dette kun en beskeden del af faldet i forbrugskvoten. Det fremgår af figur 6, hvor effekten af den øgede indkomstulighed analyseres ved hjælp af tre forskellige metoder, som er nærmere beskrevet i boks 1. Resultaterne er konsistente på tværs af metoder: Forskydninger af indkomst på tværs af husholdninger spiller en begrænset rolle, mens ændringer i husholdningernes adfærd vejer langt tungere. For eksempel bidrog indkomstforskydninger i 2023 med 0,2-0,5 procentpoint ud af det samlede fald i forbrugskvoten på 6,6 procentpoint siden 2019. Resten af faldet – dvs. forskellen mellem den grå søjle i figur 6 og hver af de tre andre – må tilskrives adfærdsændringer. Dette stemmer også overens med tidligere undersøgelser, der viser, at det især er adfærdsændringer – snarere end ændringer i fordelingen af indkomst – som driver udsving i forbrugs‑ og opsparingstilbøjeligheden på kort sigt.5
Formueindkomst har fyldt mere af den samlede indkomst de seneste år, men denne forskydning kan kun forklare en begrænset del af det svage forbrug. Selv hvis der ses helt bort fra stigningen i formueindkomsten siden 2019, mens forbruget holdes på det faktiske niveau, er det kun muligt at forklare en mindre del af faldet i forbrugskvoten, se figur 7. Det gælder endda, selvom beregningen bygger på den stærke antagelse, at stigningen i formueindkomst slet ikke har påvirket forbruget. Formueindkomsten ekskl. renter steg med 74 pct. fra 2019 til 2024, mens lønindkomsten i samme periode steg med knap 29 pct. i nominelle termer. Formueindkomsten udgør dog fortsat en relativt lille del af den samlede disponible indkomst, hvormed ændringen i formueindkomsten ikke er tilstrækkelig til at drive de store bevægelser i forbrugskvoten.
En stigning i formueindkomsten siden 2019 kan blot forklare en begrænset del af faldet i forbrugskvoten
Anm.:
Den punkterede røde linje viser forbrugskvoten beregnet med en disponibel indkomst, hvor formueindkomsten er uændret siden 2019.
Kilde:
Danmarks Statistik og egne beregninger.
Indkomstulighed er ikke hovedforklaringen på det lave forbrug
Indkomstuligheden i Danmark er steget lidt over de senere år, og i 2023 og 2024 har formueindkomsten været ekstraordinært høj. Størstedelen af formueindkomsten tilfalder den øverste indkomstkvartil (dvs. de 25 pct. med den højeste indkomst), og for denne gruppe steg formueindkomsten med 65 pct. fra 2022 til 2023. Formueindkomsten udgør dog fortsat en begrænset andel af den samlede indkomst for denne gruppe, nemlig 5,5 pct. i 2023 (mod 3,6 pct. i 2022). Overordnet har der også været en lille stigning i den del af indkomsterne, der tilfalder top 10 pct. af indkomstfordelingen, se figur nedenfor. I 2015 stod top 10 pct. for 29,4 pct. af indkomsten. I 2019 var det 30,1 pct., og i 2023, hvor formueindkomsten var ekstraordinært høj, udgjorde andelen 31,4 pct. Stigningen kan især tilskrives den øverste procent i indkomstfordelingen, som steg fra 7,9 pct. af den samlede indkomst i 2015 til 9,7 pct. i 2023.
Når en større andel af den samlede indkomst tilfalder højindkomstgrupper, kan det give anledning til et fald i forbrugskvoten, i hvert fald på kortere sigt. Det afspejler, at højindkomstgrupper har en lavere marginal forbrugstilbøjelighed end andre grupper (se fx Crawley og Kuchler, 2023).
Sammensætning af indkomst på indkomstgrupper
Anm.:
Data er på husstandsniveau, og indkomst er opgjort som samlet personlig indkomst før skat. Der er vist procenttal for de grupper, hvor der sker en ændring i perioden.
Kilde:
Egne beregninger på baggrund af registerdata fra Danmarks Statistik.
Betydningen af indkomstulighed for udviklingen i forbrugskvoten
I det følgende anvendes tre forskellige tilgange til at estimere betydningen af udviklingen i indkomstulighed for forbrugskvoten i perioden 2019-24.
For det første anvendes en mikrobaseret metode, baseret på registerdata for hele befolkningen og et beregnet – eller imputeret – mål for forbrug, se boks 2. Imputeret forbrug er et mål for forbruget, der beregnes ud fra den enkelte husholdnings årlige indkomst fratrukket ændring i opsparing. Først estimeres forbrugskvoten for hver enkelt familie i Danmark i et givet år, baseret på en regression med granulære kontrolvariable for indkomst, formue, alder og geografi. Dernæst opstilles et kontrafaktisk scenarie baseret på den forbrugsadfærd, som modellen i det givne år tilsiger, men hvor populationskarakteristika (dvs. fordeling af indkomst, formue, alder og geografi) fastholdes på 2019-niveau.
Det kontrafaktiske scenarie er således udtryk for, hvad forbrugskvoten ville have været med samme forbrugsadfærd men uændret indkomst-, formue-, alders- og geografisk fordeling siden 2019. Forskellen på det faktiske og kontrafaktiske scenarie udgør derfor bidraget fra ændringer i fordelingen, og resten af den faktiske udvikling må tilskrives ændret adfærd. I beregningerne korrigeres for forskellen mellem forbrugskvoten i nationalregnskabet og den estimerede forbrugskvote baseret på registerdata.
For det andet anvendes en MPC-betragtning (marginal forbrugstilbøjelighed). Her beregnes bidraget fra øget indkomstulighed ved at gange ændringen i indkomstandelene for de 6 forskellige indkomstgrupper i figuren i denne boks med marginale forbrugstilbøjeligheder (marginal propensity to consume, MPC’er) for de enkelte indkomstgrupper fra Crawley og Kuchler (2023). Da højindkomstgrupper har lavere MPC end lavindkomstgrupper, giver en øget koncentration af indkomsten i højindkomstgrupper et fald i forbrugskvoten.
For det tredje anvendes en modelbaseret metode. Den modelbaserede metode er en strukturel model med heterogene agenter, som er nærmere beskrevet i kapitel 4. I baseline-scenariet antages husholdningernes indkomst at udvikle sig som givet af indkomstudviklingen på kvartiler fra mikrodata. I det kontrafaktiske scenarie har alle husholdninger i stedet den gennemsnitlige indkomstudvikling. Forskellen mellem de to udgør bidraget fra indkomstforskydning.
Udviklingen i indkomstulighed har haft beskeden effekt på forbrugskvoten
De beregnede bidrag fra hver af de tre metoder ses i figur 6 sammen med den faktiske ændring i forbrugskvoten. Resultaterne varierer i størrelsesorden fra år til år og på tværs af de tre metoder. Konklusionen synes dog ret klart at være, at indkomstulighed kun i beskedent omfang har bidraget til den faldende forbrugskvote. I 2023, hvor formueindkomsten hos højindkomstgrupper var ekstraordinært høj, udgjorde bidraget fra øget indkomstulighed til forbrugskvoten op til omkring 0,5 procentpoint ud af det fald på 6,6 procentpoint, der var sket siden 2019.
Den begrænsede effekt af ulighed på kortere sigt er konsistent med tidligere analyser. Eksempelvis fandt Andersen mfl. (2022a), at stigende ulighed i et vist omfang har bidraget til at forklare øget opsparing siden slutningen af 1980'erne, men at ændret opsparingsadfærd har spillet en stor rolle også på så relativt langt sigt. Slutteligt skal det bemærkes, at de tre metoder, der anvendes i denne boks, hovedsageligt er i stand til at kvantificere den ”mekaniske” betydning af ændret indkomstfordeling. Der kan i tillæg hertil være indirekte effekter af ulighed. Det kan eksempelvis tænkes, at stigende formueulighed, fx som følge af stigende boligpriser, giver anledning til øget forbrug hos boligejere og øget opsparing hos fx yngre, der ønsker at komme ind på boligmarkedet.B1-1
Forbrugskvoten er især faldet blandt de yngre og de ældre
Privatforbruget måles ofte på aggregeret niveau for befolkningen som helhed i nationalregnskabet. Det er imidlertid nødvendigt at gå i dybden og se på tværs af befolkningsgrupper og forbrugskategorier for at belyse, hvad der især har bidraget til faldet i forbrugskvoten. For at analysere forskelle på tværs af befolkningsgrupper beregnes et mål for den enkelte husholdnings forbrug, se boks 2.6 Målet bygger på data fra indkomst- og formueregistre og er derfor ikke identisk med nationalregnskabets forbrugsopgørelse.
Beregnet forbrug for individuelle husholdninger
For at undersøge, om bestemte befolkningsgrupper i særlig grad har bidraget til faldet i forbrugskvoten, beregnes et mål for forbruget for hver enkelt husholdning i Danmark baseret på data fra administrative registre – et såkaldt imputeret mål for forbruget. Det imputerede forbrugsmål følger i store træk Browning og Leth Petersen (2003) med efterfølgende justeringer af bl.a. Hviid og Kuchler (2017) og Abildgren mfl. (2020). Udgangspunktet for imputeringen er, at forbrug er lig indkomst minus nettoopsparing. Indkomsten observeres direkte i registrene, mens nettoopsparingen approksimeres ud fra ændringer i de formuekomponenter, der kan observeres. Der renses i videst muligt omfang for værdiændringer i formuekomponenterne. Pensions- og boligformue indgår ikke, men private indbetalinger på pensionsordninger medregnes som opsparing.
Abildgren mfl. (2020) viser, at det imputerede forbrugsmål er støjfyldt på husholdningsniveau, men i gennemsnit retvisende i sammenligning med andre kilder. Målet omfatter, ud over forbrug, også investeringer i fx boligforbedringer og biler og er således ikke identisk med opgørelsen af forbrug i nationalregnskabet. Ved beregning af forbrugskvoter anvendes disponibel indkomst i lighed med nationalregnskabet.
Det imputerede forbrugsmål er justeret på flere områder, i forhold til hvordan det er brugt i tidligere analyser. For det første estimeres ændringer i udestående realkreditgæld i et givet år uden lånoptagelse eller -indfrielse ud fra data om afdrag på realkreditlån frem for ændringer i markedsværdien af gælden, som har været anvendt, når en længere tidsserie har været nødvendig. For det andet korrigeres der for tilbagekøb af realkreditobligationer i forbindelse med opkonverteringer i 2022 og efterfølgende år. Endelig er data om ejendomshandler ikke tilgængelige for 2023 og 2024, hvilket umuliggør frasortering af husholdninger, der handler fast ejendom. For disse husholdninger er forbrugsmålet ikke retvisende, idet det inddrager ændringer i nettoformuen på gældssiden men ikke på aktivsiden. I stedet fjernes i hele dataperioden ekstraordinært høje og lave værdier for imputeret forbrug. Det kan i nogle tilfælde indebære, at reelle ændringer i forbruget frasorteres, og det imputerede forbrugsmål derfor undervurderer ændringer i forbruget for sådanne grupper.
Figuren nedenfor viser den aggregerede forbrugskvote baseret på det imputerede forbrugsmål sammenholdt med forbrugskvoten fra nationalregnskabet. Bevægelserne i det imputerede forbrug følger overordnet set bevægelserne i nationalregnskabet, men variationen over tid er mindre. Det skyldes bl.a., at outliers fjernes, jf. diskussionen ovenfor. Resultaterne baseret på det imputerede forbrugsmål egner sig således primært til analyser af fordelinger, mens makroøkonomiske analyser mere hensigtsmæssigt bør baseres på data fra nationalregnskabet.
Imputeret forbrug på familieniveau sammenlignet med forbrugskvoten fra nationalregnskabet
Anm.:
Den imputerede forbrugskvote er beregnet som summen af imputeret forbrug for alle husholdninger i forhold til summen af disponibel indkomst, så den er sammenlignelig med nationalregnskabets opgørelse.
Kilde:
Danmarks Statistik og egne beregninger på registerdata fra Danmarks Statistik.
Forbrugskvoten er faldet, især blandt yngre og ældre
Det er især de yngre op til ca. 40 år og de ældre over 60, der har reduceret deres forbrugskvote, se figur 8. En dekomponering af faldet i forbrugskvoten på aldersgrupper viser, at 33 pct. af faldet kan tilskrives, at husholdninger i aldersgruppen 25-40 år har reduceret deres forbrugskvote, mens 50 pct. af faldet kan tilskrives reducerede forbrugskvoter hos husholdninger i aldersgruppen 60 år og derover. Ændret fordeling af indkomst på tværs af aldersgrupper kan forklare 3 pct. af faldet i forbrugskvoten.
For den ældre gruppe kan udviklingen i høj grad hænge sammen med de senere års arbejdsmarkedsreformer og forhøjelsen af pensionsalderen, som har løftet indkomsten for personer i alderen 57-70 siden 2019, se figur 9. Denne indkomststigning har ikke ført til en tilsvarende stigning i forbruget, idet husholdningerne i aldersgruppen fortsat har sparet en væsentlig del af deres indkomst op. Hvis indkomst og forbrug var vokset i samme takt for husholdninger med personer på 60 år og derover som for andre aldersgrupper, ville forbrugskvoten for den samlede befolkning være faldet 2 procentpoint mindre, end den gjorde fra 2019 til 2024. Til sammenligning var faldet i forbrugskvoten 7 procentpoint i den periode.
Hos yngre husholdninger kan en væsentlig forklaring på den lavere forbrugskvote være, at den generelle usikkerhed om fremtiden er øget. Deres jobsituation er ofte mere usikker end de ældre grupper, og de står over for en længere tidshorisont med potentielle risici. Som resultaterne i næste kapitel viser, er det da også særligt de yngre, der er blevet mindre optimistiske i vurderingen af deres fremtidige økonomiske situation. Hertil kommer, at stigende boligpriser kan have gjort det nødvendigt for yngre husholdninger at øge deres opsparing i en længere periode end tidligere for at kunne etablere sig på boligmarkedet, hvilket også vil trække forbrugskvoten ned.
Især yngre og ældre forbruger en mindre del af deres indkomst end tidligere
Anm.:
Forbrug er imputeret på husholdningsniveau som i Hviid og Kuchler (2017) og Abildgren mfl. (2020), se boks 2. I figuren indgår ikke husholdninger med en aktieformue blandt de højeste 5 pct., selvstændige og ikke fuldt skattepligtige, da deres forbrug ikke kan opgøres med tilstrækkelig præcision. Figuren viser aggregerede forbrugskvoter for aldersgruppen, beregnet som summen af forbrug i forhold til summen af indkomst for pågældende gruppe.
Kilde:
Egne beregninger på registerdata fra Danmarks Statistik.
Indkomsten er også steget mest blandt yngre og ældre
Anm.:
Figuren viser for hver aldersgruppe samlet nominel indkomst efter skat for alle husholdninger i gruppen i henholdsvis 2019 og 2024 samt forskellen på de to.
Kilde:
Egne beregninger på registerdata fra Danmarks Statistik.
Husholdninger med god likviditet har mindsket forbrugskvoten mest
Mens udviklingen blandt yngre og ældre husholdninger trækker forbrugskvoten ned, er faldet i forbrugskvoten ikke drevet af specifikke indkomstgrupper. Som figur 10 viser, har husholdninger med lav indkomst generelt en højere forbrugskvote end dem med højere indkomster, men udviklingen siden 2019 har været bemærkelsesværdigt ens på tværs af indkomstgrupper.
Et mere tydeligt mønster opstår derimod, når husholdningerne opdeles efter likviditet. Figur 11 viser, at det især er husholdninger med god likviditet, der har holdt igen med forbruget. Det skal ses i lyset af, at de mest likviditetsbegrænsede husholdninger typisk forbruger stort set hele deres indkomst og kun i begrænset omfang udjævner deres forbrug over tid. Den akademiske litteratur har vist, at forbrugstilbøjeligheden er høj hos likviditetsbegrænsede husholdninger både med og uden øvrig formue. Der er således også en væsentlig del af de mere formuende husholdninger, som har begrænset likviditet og forbruger en stor del af deres løbende indkomst.7 Husholdninger med god likviditet tilpasser derimod deres forbrug mere aktivt efter de økonomiske forhold og har reduceret deres forbrugskvote markant i de senere år – også sammenlignet med 2020, hvor forbrugsmulighederne var særligt begrænsede under coronapandemien.
Forbrugskvoten er lavere for højindkomstgrupper, men er faldet for alle grupper
Anm.:
Forbrug er imputeret på husholdningsniveau som i Hviid og Kuchler (2017) og Abildgren mfl. (2020), se boks 2. I figuren indgår ikke husholdninger med en aktieformue blandt de højeste 5 pct., selvstændige og ikke fuldt skattepligtige, da deres forbrug ikke kan opgøres med tilstrækkelig præcision. Figuren viser aggregerede forbrugskvoter for aldersgruppen, beregnet som summen af forbrug i forhold til summen af indkomst for pågældende gruppe.
Kilde:
Egne beregninger på registerdata fra Danmarks Statistik.
Forbrugskvoten er især faldet blandt de mest likvide husholdninger
Anm.:
Forbrug er imputeret på husholdningsniveau som i Hviid og Kuchler (2017) og Abildgren mfl. (2020), se boks 2. I figuren indgår ikke husholdninger med en aktieformue blandt de højeste 5 pct., selvstændige og ikke fuldt skattepligtige, da deres forbrug ikke kan opgøres med tilstrækkelig præcision. Figuren viser aggregerede forbrugskvoter for aldersgruppen, beregnet som summen af forbrug i forhold til summen af indkomst for pågældende gruppe. Likviditet er opgjort som bankindskud i forhold til indkomst efter skat i indeværende år.
Kilde:
Egne beregninger på registerdata fra Danmarks Statistik.
Der er indikationer på, at stigende renter i kølvandet på coronapandemien har bidraget til at dæmpe forbruget. Rentestigningerne førte til væsentligt højere renter på bank- og realkreditlån, mens indlånsrenterne ikke steg tilsvarende. Som figur 12 viser, reducerede de husholdninger, der oplevede den største stigning i renteudgifter fra 2022 til 2023, deres forbrug mere end andre. En væsentlig del af husholdningerne har variabelt forrentet gæld, og mange låntagere med fastforrentede realkreditlån benyttede rentestigningerne til at konvertere til lån med lavere restgæld, men højere rente.8 Dermed slog rentestigningerne relativt hurtigt igennem på husholdningernes nettorentebetalinger og trak forbrugskvoten ned.9
Ændringer i husholdningernes adfærd afhænger især af alder og likviditet
Da de forskellige faktorer ovenfor hænger sammen, opstilles en økonometrisk model for at vurdere, hvilke grupper der primært har drevet faldet i forbrugskvoten. Modellen tager højde for de mønstre, der også gjaldt før coronapandemien, herunder at højindkomstgrupper anvender en mindre andel af deres indkomst på forbrug end lavindkomstgrupper. Figur 13 viser resultaterne af analysen, hvor fokus er på ændringen i forbrugskvoten sammenlignet med årene 2015-19.
Når modellen anvendes til at isolere effekten af de enkelte faktorer, tegner der sig et klart mønster på tværs af befolkningsgrupper. Resultaterne indikerer først og fremmest, at alle grupper reducerede deres forbrugskvote fra perioden 2015-19 til 2023-24, hvilket fremgår af søjlerne længst til venstre. Søjlerne til højre for den lodrette sorte linje indikerer, hvorvidt udvalgte grupper har ændret deres forbrugskvote mere end befolkningen som helhed. Figuren viser, at de yngre og ældre aldersgrupper har reduceret deres forbrugskvote væsentligt mere end andre grupper, og det samme gør sig gældende for husholdninger med høj likviditet. Det stemmer overens med diskussionen ovenfor.
Stigende rente(betalinger) lagde en dæmper på forbruget
Anm.:
Binned scatterplot. Hver prik svarer til en tyvendedel af husholdningerne. Kontrolvariable: Alder, indkomst og likviditet. Indkomst er opgjort efter skat.
Kilde:
Egne beregninger på registerdata fra Danmarks Statistik.
Økonometrisk model viser, at forbrugskvoten er faldet mest for yngre og ældre samt husholdninger med god likviditet
Anm.:
Koefficientestimater fra en regression med imputeret forbrugskvote som afhængig variabel og årsdummies samt interaktioner mellem årsgrupper og dummies for ovenstående forklarende variable. Eksempel på fortolkning: Forbrugskvoten for 20-29-årige var i 2023-24 faldet 4 procentpoint mere end forbrugskvoten for 40-49-årige siden baseline-perioden 2015-19. Formue er opgjort som samlede nettoaktiver ekskl. pensionsformue. Likviditet og renteudgifter er opgjort som henholdsvis bankindskud og renteudgifter i forhold til indkomst efter skat. For aldersgrupper skal størrelsen af effekten tolkes i forhold til 40-49-årige, mens størrelsen af effekten for de øvrige variable tolkes i forhold til kategorien ”lav” (fx lav indkomst, lav formue inden for aldersgruppen). Data for 2015-24. Antal observationer: 24.568.211.
Kilde:
Egne beregninger på registerdata fra Danmarks Statistik.
Husholdningerne bruger en mindre andel af indkomsten på fødevarer end tidligere
Selvom fødevarepriserne på det seneste har været faldende, er fødevarer siden coronapandemien blevet dyrere i forhold til andre varer og tjenester.10 På trods af dette bruger husholdningerne i dag en mindre andel af deres budget på fødevarer end tidligere, se figur 14. Det ligger i forlængelse af en langsigtet tendens, hvor fødevarer fylder stadig mindre i budgettet i takt med stigende velstand. Den seneste udvikling tyder dog på, at de relativt højere fødevarepriser har forstærket tendensen. Det kan enten afspejle, at husholdningerne har købt færre fødevarer, eller at de er skiftet i retning af billigere alternativer.11 Den eneste gruppe, som ikke har reduceret budgetandelen til fødevarer, er husholdninger med de laveste indkomster. Mange i denne gruppe har begrænsede muligheder for at købe billigere varer end dem, de allerede gør, og kan heller ikke reducere deres forbrug af fødevarer væsentligt.
Figur 14-17 viser, at der generelt ikke er sket større ændringer i sammensætningen af husholdningernes forbrug. Dog ses en tendens til, at husholdninger med højere indkomst bruger en større andel af budgettet på transport. Det hænger bl.a. sammen med, at bilsalget er steget betragteligt i de senere år.
Faldende budgetandel til fødevarer, undtagen for husholdninger med de laveste indkomster
Anm.:
Figuren viser den andel af det samlede forbrug, der ifølge Danmarks Statistiks forbrugerundersøgelse bruges til fødevarer, for forskellige indkomstgrupper. Indkomsten er opgjort som samlet indkomst før skat.
Kilde:
Danmarks Statistik.
Budgetandel brugt på bolig, el, vand, gas og andet brændsel
Anm.:
Figuren viser den andel af det samlede forbrug, der ifølge Danmarks Statistiks forbrugerundersøgelse bruges til kategorierne bolig, el, vand, gas og andet brændsel, for forskellige indkomstgrupper. Indkomsten er opgjort som samlet indkomst før skat.
Kilde:
Danmarks Statistik.
Budgetandel brugt på fritid, kultur, sport, hoteller, restauranter
Anm.:
Figuren viser den andel af det samlede forbrug, der bruges til kategorierne fritid, kultur, sport, hoteller og restauranter, for forskellige indkomstgrupper. Indkomsten er opgjort som samlet indkomst før skat.
Kilde:
Danmarks Statistik.
Stigende budgetandel brugt på transport for højindkomstgrupper – konsistent med stigende bilsalg
Anm.:
Figuren viser den andel af det samlede forbrug, der bruges til transport, for forskellige indkomstgrupper. Indkomsten er opgjort som samlet indkomst før skat.
Kilde:
Danmarks Statistik.
Usikkerhed og pessimisme præger husholdningerne
Som det blev vist i kapitel 2, har forbruget siden 2019 udviklet sig svagere, end hvad de historiske sammenhænge normalt tilsiger. Det peger på en ændring i husholdningernes adfærd, der ikke kan forklares ud fra de sædvanlige drivkræfter som indkomst, formue, ulighed og demografi. I stedet er der indikationer på, at usikkerhed og pessimisme blandt husholdningerne har bidraget til, at de har holdt igen med forbruget.
For at belyse disse mekanismer mere systematisk anvendes en strukturel økonomisk model, der beskriver, hvordan husholdninger med forskellige karakteristika – herunder indkomst, formue og likviditet – reagerer forskelligt på økonomiske stød. Modellen gør det muligt at isolere, hvor meget af udviklingen der kan forklares af realøkonomiske forhold, og hvor meget der må tilskrives ændret adfærd og risikoopfattelse. En nærmere beskrivelse af modellens struktur og kalibrering findes i kapitel 5.
Faldet i forbrugskvoten kan ikke forklares af den realøkonomiske udvikling
Anm.:
Modelberegninger baseret på tal fra Danmarks Statistik. Yderligere er 2025-tal for forbrugskvote og disponibel indkomst baseret på skøn fra Danmarks Nationalbank. De stiplede kurver angiver, hvordan renter og afkast samt disponible indkomster og arbejdsmarkedsvilkår ifølge modellen kan forventes at påvirke forbrugskvoten.
Kilde:
Modelberegninger baseret på tal fra Danmarks Statistik.
Realøkonomisk udvikling forklarer ikke faldet i forbrugskvoten, men usikkerhed ser ud til at bidrage
Den overordnede økonomiske udvikling kan ikke forklare faldet i forbrugskvoten. Sammenlignet med 2019 forudsiger modellen en omtrent uændret forbrugskvote i 2020, se figur 18. Det afspejler to modsatrettede effekter: Den ene effekt kommer af, at realindkomsten er steget mere end sin langsigtede trend. Det trækker forbrugskvoten ned, da husholdningerne ønsker at udjævne deres forbrug over tid og dermed ikke har øget forbruget i samme omfang som indkomsten. Den anden effekt peger i modsat retning, da højere boligformue i perioden bidrager til at trække forbrugskvoten op.12
I årene efter 2020 fluktuerer den modelbaserede forbrugskvote en smule, og i 2025 ligger den omtrent på niveau med 2019. Derimod er den faktiske forbrugskvote næsten 7 procentpoint lavere i 2025 end i 2019. Det peger på, at andre faktorer end de realøkonomiske forhold må have spillet en væsentlig rolle for udviklingen i forbruget.
Perioden siden 2019 omfatter både coronapandemien, krigen i Ukraine, store udsving i inflationen og øget geopolitisk usikkerhed, og derfor undersøges det, om usikkerhed kan bidrage til at forklare faldet i forbrugskvoten. Økonomisk teori tilsiger, at usikkerhed kan dæmpe forbrugskvoten gennem forsigtighedsopsparing. For at belyse dette anvendes det europæiske indeks for volatilitet på de finansielle markeder, VSTOXX, som mål for usikkerhed. Som et robusthedstjek inddrages også det globale økonomisk-politiske usikkerhedsindeks, GEPU.13 Figur 19 viser, at der er en tydelig sammenhæng mellem VSTOXX og danske husholdningers tillid til økonomien. Før indikatorerne kan indsættes i modellen, skal deres effekt på forbruget dog estimeres. Se boks 3 for detaljer om metoden.14
Beregning af gennemslag fra usikkerhed i data til model
For at beregne, hvordan usikkerhed påvirker forbruget, anvendes en kvartalsvis Bayesian Vector Auto-Regressive-model (BVAR-model). Der anvendes separate modeller for hvert af de to mål for usikkerhed, VSTOXX (options og dermed markedsbaseret mål) og GEPU (politisk usikkerhedsmål). Begge modeller indeholder BNP, investeringer, boliginvesteringer, boligpris, forbrug, forbrugerprisindeks, ECB’s pengepolitiske rente, ind- og udlånsrente, kapitalafkast og disponibel indkomst. Identifikationen bygger på Krogh og Pellegrino (2025) og bruger fortegnsrestriktioner, hvor en stigning i ét volatilitetsindeks antages at implicere en stigning i et andet samt øget volatilitet et år frem. For VSTOXX inddrages den 2-årige markedsforventning som ekstra mål (basis-VSTOXX er én måned). For GEPU antages det, at øget global politisk usikkerhed giver øget dansk politisk usikkerhed.B3-1
VSTOXX-modellen estimeres fra 1. kvartal 1999 til 4. kvartal 2024. GEPU-modellen estimeres til 2. kvartal 2021 grundet datarestriktioner.
Resultaterne fra BVAR-modellerne giver stier for forbrug og realøkonomiske størrelser for de to usikkerhedsstød.B3-2 For at finde modelgennemslaget fra usikkerhed til forbrug indsættes disse stier i modellen, og en parameter for risikopræmiestød kalibreres, så modellens 2-års kumulerede forbrugsrespons svarer til empirien. På baggrund af denne gennemslagskalibrering er det muligt at indsætte de faktiske forløb for henholdsvis VSTOXX og GEPU i modellen og lade modellen give bidraget fra usikkerhed til udviklingen i forbrugskvoten.
Analysen viser, at en forøget usikkerhed siden 2019 kan forklare en del af faldet i forbrugskvoten. Det fremgår af figur 20, hvor de modelberegnede forløb for forbrugskvoten, som inddrager de to indikatorer for usikkerhed, ligger under det modelberegnede forløb fra figur 18, hvor der ikke tages højde for makroøkonomisk usikkerhed. Selv når der tages højde for usikkerhed, forudsiger modellen dog ikke et fald i forbrugskvoten, der kommer i nærheden af det faktisk observerede.
Tydelig sammenhæng mellem usikkerhed (VSTOXX) og forbrugertillid
Anm.:
VSTOXX er primærudtrykket for forventninger til volatilitet for det europæiske aktiemarked.
Kilde:
Danmarks Statistik og stoxx.com
Øget makroøkonomisk usikkerhed kan forklare noget af faldet i forbrugskvoten
Anm.:
Linjer med label ”inkl. aggregeret usikkerhed” inkluderer nu bidrag fra VSTOXX og GEPU.
Kilde:
Modelberegninger baseret på tal fra Danmarks Statistik, stoxx.com og policyuncertainty.com.
Øget pessimisme og frygt for inflation kan have dæmpet forbruget
Ud over at usikkerheden er steget siden 2019, viser Danmarks Statistiks forbrugerforventningsundersøgelse, at husholdningerne også er blevet betydeligt mere pessimistiske. Pessimismen er mere udtalt, end udviklingen i de disponible indkomster umiddelbart tilsiger, og kan derfor være en medvirkende årsag til, at forbruget har udviklet sig svagt. Pessimismen er udbredt på tværs af indkomst- og aldersgrupper samt køn, men faldet i tillidsindikatoren er mest markant blandt yngre husholdninger, se figur 21. Det er sandsynligvis en væsentlig forklaring på, at yngre i højere grad end midaldrende har holdt igen med forbruget, se kapitel 3.
Betydeligt skift i synet på familiens egen økonomiske situation i fremtiden fra og med 2022 – især for de yngre
Anm.:
3-måneders glidende gennemsnit. Nettotallet er beregnet på samme måde som i de aggregerede offentliggørelser af forbrugerforventningsundersøgelsen fra Danmarks Statistik.
Kilde:
Egne beregninger på baggrund af mikrodata bag Danmarks Statistiks forbrugerforventningsundersøgelse.
Opfattet inflation er fortsat relativt høj
Anm.:
Figuren viser opfattede prisstigninger indsamlet af Danmarks Statistik (”Med hvor mange procent mener du, at priserne er gået op/ned over det seneste år?”), og opfattet inflation (”Hvad tror du, at inflationen har været de seneste 12 måneder?”) indsamlet af Danmarks Nationalbank. For bl.a. at tage højde for outliers og en tendens til at svare i hele og runde tal er begge serier afbildet i form af den interpolerede median.
Kilde:
Danmarks Statistik, Danmarks Nationalbank og egne beregninger.
En kilde til den udbredte pessimisme kan være den markante stigning i inflationen fra 2022 og frem. Selvom inflationen siden er faldet, opfatter husholdningerne fortsat prisstigningerne som betydeligt højere end den faktiske inflation, se figur 22. Det gælder både i data fra Danmarks Statistiks forbrugerforventningsundersøgelse og i en ny spørgeskemaundersøgelse, som Nationalbanken har foretaget siden oktober 2024, Nationalbankens forventningsundersøgelse. Det er et kendt mønster, at inflationen opfattes som højere, end den faktisk er, men det er blevet mere udtalt siden 2022. I princippet kan en opfattelse af – eller forventning om – højere inflation få husholdninger til at fremrykke forbrug, da forbrug i dag vil være billigere end forbrug i fremtiden. I praksis sker det dog typisk ikke, fordi højere priser udhuler husholdningernes budgetter, og stigende inflationsforventninger ofte optræder i perioder med øget usikkerhed.
Det høje opfattede inflationsniveau kan have flere forklaringer. Eksempelvis kan høje prisstigninger på fødevarer i store dele af perioden siden 2022 spille en rolle, da de vejer tungt i husholdningernes vurdering af prisudviklingen.15 Derudover kan husholdningerne fortsat opleve prisniveauet som højt, selvom stigningstakten er aftaget. En indikation på, at det er tilfældet, er, at husholdningerne fortsat vurderer prisstigningerne til at være forholdsvis høje (og stigende) i Danmarks Statistiks forbrugerforventningsundersøgelse, mens de vurderer inflationen til at være lavere og mere stabil i Nationalbankens forventningsundersøgelse, se figur 22. Endvidere er der indikationer i Nationalbankens forventningsundersøgelse (ikke vist her) på, at den makroøkonomiske usikkerhed er forholdsvis høj. Inflationsforventningerne på længere sigt er lavere end på kort sigt, hvilket kan indikere, at husholdningerne forventer en normalisering af den makroøkonomiske situation.
Samlet set peger disse forhold på, at den høje inflation fortsat kan påvirke husholdningernes forbrug. Forskning viser, at økonomisk adfærd formes af personlige erfaringer, og husholdninger, der tidligere har oplevet perioder med høj inflation, har fx en tendens til at overvurdere sandsynligheden for fremtidige prisstigninger.16 Effekten af dette forventes dog gradvist at aftage, i takt med at inflationsudviklingen normaliseres.
Selvom øget pessimisme fremstår som en plausibel forklaring på udviklingen, er det dog vanskeligt på baggrund af den strukturelle model at påvise, at udsving i graden af pessimisme bidrager til at forklare udviklingen i forbruget, se boks 4. I stedet følger udsving i den faktiske forbrugskvote modellen, hvor der ikke tages højde for indikatorer for pessimisme, ganske tæt, omend den faktiske forbrugskvote ligger på et betydeligt højere niveau, som det også fremgår af figur 18. Der er således indikationer på et mere grundlæggende niveauskifte i forbrugskvoten, som ikke hænger særligt tæt sammen med kortsigtede udsving i hverken inflationsforventninger eller indikatorer for pessimisme. Det tyder på, at et mere grundlæggende skifte i, hvordan usikkerhed påvirker husholdningerne, er en hovedforklaring på det svage forbrug.
Forventninger til fremtiden som forklaring på forbrugsudviklingen
For at undersøge, om husholdningernes forventninger til fremtiden kan være med til at forklare den del af forbrugsudviklingen, der ikke opfanges af den strukturelle model introduceret i begyndelsen af kapitel 4, opstilles to regressionsligninger for forbruget.
I regressionerne forsøges forbrugskvoten forklaret af husholdningernes forventning til egen økonomiske situation (proxy for pessimisme) og til inflationen i samspil med resultaterne fra den strukturelle økonomiske model. Det er input fra den strukturelle model uden inklusion af usikkerhed, der benyttes, da husholdningernes forventningsmål ikke fuldstændigt kan adskilles fra anden usikkerhed. De to regressionsligninger er:
FKt = α + β1Forv_økot + β2Ct + ϵt
FKt = α + β3Forv_Inft + β4Ct + ϵt ,
hvor FKt er den faktiske udvikling i forbrugskvoten, Forv_økot er husholdningernes forventninger til egen økonomiske situation 12 måneder frem, mens Forv_Inft er husholdningernes forventning til inflationen. Begge forventnings-variable stammer fra Danmarks Statistiks forbrugerforventningsundersøgelse. Ct er forudsigelsen af forbrugskvoten givet den faktiske udvikling i økonomien og kommer fra den strukturelle model. ϵt er et fejlled, mens α betegner skæringen. Slutteligt er β1-4 koefficienter for de forklarende variable. Alle variable indgår som procentvise ændringer siden 2019, og regressionen dækker perioden 2020-25.B4-1
I tabellen vises resultaterne fra regressionen:
Forventninger som forklarende variabel på faldet i forbrugskvoten
|
Variabel |
Skæring |
Forventnings- |
Input fra strukturel model |
R² |
| Forventninger til økonomien 12 måneder frem (pessimisme) |
-5,271* |
0,055 |
1,559* |
0,705 |
|
Forventet inflation |
-5,845** |
0,003 |
1,605* |
0,689 |
Anm.:
Afhængig variabel: Ændring i forbrugskvote. Alle modeller kontrollerer for den model-implicerede udvikling i forbrugskvoten under træge rationelle forventninger uden usikkerhed. Forventninger til økonomien 12 måneder frem er baseret på spørgsmålet "Hvordan tror du familiens økonomiske situation vil være om et år, sammenlignet med i dag?" fra Danmarks Statistiks forbrugerforventningsundersøgelse. Forventet inflation er baseret på spørgsmålet "Priser om et år, sammenlignet med i dag" fra samme undersøgelse. *, **, *** angiver statistisk signifikans på henholdsvis 10-pct.-, 5-pct.- og 1-pct.-niveau. Hverken højere ordens-led, covid-dummy eller lags af forventninger afhjælper forklaringsproblemet.
Kilde:
Danmarks Statistik, Danmarks Nationalbank og modelberegninger.
Den estimerede koefficient til forventningsmålene er tæt på nul og ikke signifikant. Det indikerer, at der rent statistisk ikke kan påvises en sammenhæng mellem udsving i forventninger og forbrug inden for estimationsperioden. Derimod er skæringskoefficienten betydeligt negativt. Det indikerer, at den faktiske forbrugskvote over perioden som helhed har ligget betydeligt under den, som følger af modellen.
Bilag: Ny strukturel model til at forklare udviklingen i privatforbruget
Model
For at modellere udviklingen i forbruget opstilles en model for såkaldt partiel "Heterogeneous Agent New Keynesian", HANK, se fx Kaplan mfl. (2018) eller Auclert mfl. (2020). Modellen tager højde for, at husholdninger er forskellige: De har forskellige indkomster, formuer og likviditet og reagerer derfor også forskelligt på økonomiske stød. Det gør den velegnet til at belyse tre centrale forhold, der påvirker privatforbruget: 1) betydningen af ulighed i husholdningernes indkomst- og formueudvikling, 2) varigheden af de økonomiske stød og 3) effekten af ændringer i husholdningernes risiko for lønstød, herunder (implicit) ledighed.
Konkret er der tale om en forbrugsmodel med to typer af aktiver (likvide og illikvide) samt indkomstusikkerhed og lånebegrænsninger. Likvide aktiver tolkes som bankindeståender, mens illikvide aktiver omfatter resten (bolig, pension, obligationer, aktier mv.). Groft sagt findes tre typer husholdninger: likviditetsbegrænsede uden formue ("fattige" hånd-til-mund, FHTM), likviditetsbegrænsede med illikvid formue ("rige" hånd-til-mund, RHTM) og formuende husholdninger med høj likviditet. De to første grupper har høje marginale forbrugskvoter og står derfor for udsving i forbruget ved midlertidige indkomstændringer (Kaplan mfl., 2014). De formuende husholdninger reagerer derimod typisk på ændringer i formueafkast (de kan forbrugsudglatte). Derudover antages husholdningerne at være begrænset fremadskuende, hvilket introduceres via træg forventningsdannelse.
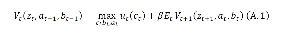
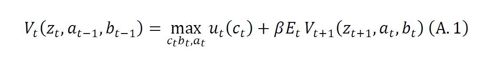
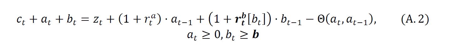
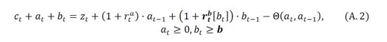
Der findes et kontinuum af husholdninger (indekseret fra 0 til 1), der repræsenterer den samlede gruppe af husholdninger i Danmark. Individuelle husholdninger optimerer følgende værdifunktion og har en uendelig tidshorisont:

under budget- og lånebetingelser:

hvor en periode, 𝑡, udtrykker et år, 𝑧𝑡 er husholdningers individuelle indkomst, der følger en stokastisk autoregressiv proces af første orden, 𝑎𝑡 er illikvid opsparing med afkast
,
er likvid opsparing med afkast
, der har værdien
, når
og værdien
når
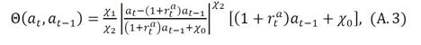
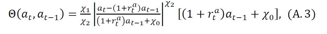
hvor 𝜅 er en låneomkostning, 𝑐𝑡 er forbrug, og 𝐸𝑡 er en forventningsoperator. Θ er en justeringsomkostning, der gør 𝑎𝑡 illikvid med funktionel form:

hvor χ0,χ1>0, χ2>1, og hvor Θ er begrænset, differentiabel og konveks i valget af illikvide aktiver.
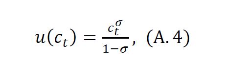
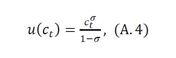
Slutteligt er nyttefunktionen af typen konstant relativ risikoaversion (CRRA) med funktionel form:

hvor σ er den (inverse) risikoaversionsparameter.
Kernen i modellen er, at husholdninger med høj likviditet har lave marginale forbrugskvoter og primært reagerer på ændringer i permanent indkomst, mens husholdninger med lav likviditet har høje marginale forbrugskvoter og reagerer stærkt på transitoriske indkomstudsving (indkomsteffekter). Dette illustreres ved førsteordensbetingelsen for likvide aktiver:

hvor λt er skyggeprisen på likviditet under lånebegrænsning, der har værdien 0, når lånebetingelsen ikke binder. Når λt>0, afspejler det, at husholdningen er begrænset i sin låneadgang, hvilket medfører højere marginal nytte af forbrug u'(ct) og dermed en højere marginal forbrugskvote. Da man (ved ”envelope condition”) har, at ∂b Vt indeholder λt, kan man iterere skyggepris-udtrykket i ∂b Vt fremad og få:

Sammenholdt viser ligning (A.5) og (A.6), at selv med en ikke-bindende lånebetingelse i dag kan forventningen om fremtidigt bindende lånebetingelser øge den marginale forbrugskvote i dag (λt+s). Jo tættere man er på lav likviditet, desto større er sandsynligheden for at ramme lånebetingelsen.17 Ved substitutionseffekter i stedet (typisk ændringer i aktivafkast) reagerer husholdninger med høj likviditet på de mulige opsparingsgevinster, mens husholdninger med lav likviditet kun i begrænset omfang kan udnytte dette.
Slutteligt indføres træg forventningsdannelse a la Carroll mfl. (2020), hvor husholdninger med sandsynlighed Ξ opdaterer deres forventninger til fremtiden. Dette er vigtigt for at ramme både makroøkonometriske momenter og mikromomenter, se fx Auclert mfl. (2020), McKay og Wieland (2021) og Partsch mfl. (2026).
Kalibrering
Modellen skaleres, så samlet formue over disponibel indkomst (netto af renteindtægter) svarer til Danmark i 2019. Derudover kalibreres modellens parametre, så andelen af FHTM-forbrugere ("fattige" likviditetsbegrænsede) og RHTM-forbrugere ("rige" likviditetsbegrænsede) fra data rammes. Likviditetsbegrænsede husholdninger defineres i mikrodata (og modellen) som husholdninger, der ultimo året har bankindskud svarende til mindre end én måneds indkomst. Det svarer operationelt til definitionen i eksempelvis Kaplan, Violante og Weidner (2014). Disse opdeles yderligere i 'fattige' husholdninger, der ikke har anden formue over en given beløbsgrænse, og 'rige' husholdninger, der har anden formue over beløbsgrænsen. Den gennemsnitlige marginale forbrugskvote kalibreres til 0,5 (årligt) baseret på Crawley og Kuchler (2023). Den autoregressive individuelle indkomstproces estimeres på mikrodata ved standardmetoden i Floden og Lindé (2001) over årene 2015-19. Forventningsopdateringsparameteren sættes til 0,33 svarende til middelværdien fra empirisk evidens (Coibion og Gorodnichenko (2012)). En fuld kalibreringsoversigt er givet i tabel A1.
Modellens kalibrering resulterer i forskellige marginale forbrugskvoter over fordelingen af husholdninger som illustreret i figur A1, hvor lavere likviditet giver højere marginale forbrugskvoter.
Kalibreringstabel for basisår
|
Parameter |
Værdi |
Beskrivelse |
|
Estimeret på mikrodata for 2015-19 ved metoden fra Flodén og Lindé, 2001 |
|
|
|
ρe |
0,82 |
AR(1)-persistens for idiosynkratisk indkomst |
|
σe |
0,16 |
Standardafvigelse for idiosynkratisk indkomststød |
|
Momentmetode-kalibrering |
|
|
|
ß |
0,95 |
Diskonteringsfaktor |
|
σ |
0,99 |
Invers af risikoaversionsparameter |
|
κ |
0,02 |
Strafmargin på lån |
|
X0 |
0,03 |
Porteføljevalgsparameter (skifter) |
|
X1 |
6,00 |
Porteføljevalgsparameter (skalering) |
|
X2 |
2,13 |
Porteføljevalgsparameter (krumning) |
|
Ψ |
0,16 |
Kreditbegrænsning som andel af total indkomst |
|
ra — rb |
0,39 |
Rentespænd |
|
Beregnet |
|
|
|
rb |
0,00 |
Implicit indlånsrente (samlet kapitalafkast fordelt på indlånsandel) |
Anm.:
Kalibrering af modellens parametre for basisår = 2019, så ”formue til indkomst”-niveauet svarer til 2019, den marginale forbrugskvote (aggregeret) er 0,5, og andelene af ”rige” og ”fattige” likviditetsbegrænsede husholdninger svarer til mikroevidens.
Kilde:
Danmarks Statistik og egne beregninger.
Illustration af, hvordan de marginale forbrugskvoter er fordelt på baggrund af kalibreringen
Anm.:
Modellen har tre dimensioner (indkomststatus, likvide aktiver, illikvide aktiver). Her plottes for variation i bankindskud betinget på en gennemsnitlig indkomststatus og beholdning af illikvide aktiver.
Kilde:
Modelberegninger baseret på tal fra Danmarks Statistik.
Detaljer for beregning af realøkonomiske modelinput for årene 2020-25
For at undersøge udviklingen i forbrugskvoten på baggrund af den realøkonomiske udvikling gøres følgende: Priser, indkomst, demografi og arbejdsmarkedsvilkår fremskrives efter den faktiske udvikling i data frem mod 2025. Dermed kan modellen beregne, hvordan forbrugskvoten burde have udviklet sig. Konkret deles husholdningerne i fire indkomstkvartilgrupper, og deres disponible indkomst fremskrives efter mikrodata (trendkorrigeret). Da der endnu ikke er data for 2025, bruges Nationalbankens prognose for den samlede disponible indkomst, mens fordelingen fra 2024 holdes fast. Aktivafkast følger udviklingen i makrodata: For likvide aktiver bruges den gennemsnitlige ind- og udlånsrente (inkl. boliglån for den sidste). For illikvide aktiver beregnes afkastet ud fra en gennemsnitlig portefølje af bolig, aktier, obligationer og pension. For at tage højde for demografi holdes aldersprofilen for formue fast i 2019 og skaleres med den demografiske udvikling frem mod 2025. Modellen tilpasses derefter ved at kalibrere diskonteringsfaktoren til det nye formueniveau. Slutteligt opdateres den stokastiske proces for individuelle arbejdsmarkedsvilkår som beskrevet i boks 3, nu baseret på årene 2020-23 (mod 2015-19 i kalibreringen). Det giver en persistens på 0,79 (mod 0,83 tidligere) og en varians på 0,030 (mod 0,027 tidligere).
Samlet giver databehandlingen stier for disponibel indkomst, arbejdsmarkedsvilkår, renter, afkast og demografi for perioden 2019-25. Disse stier indsættes i modellen, hvilket giver et modelbud på forbrugskvotens udvikling, se kapitel 4, figur 18.
Litteratur
Abildgren, Kim, Andreas Kuchler, America Solange Lohmann Rasmussen og Henrik Sejerbo Sørensen (2020), Registers or surveys - does the type of microdata matter for empirical analyses of consumption behavior?, Journal of Economic and Social Measurement, vol. 45(3-4), side 237-254.
Abildgren, Kim og Andreas Kuchler (2021), Revisiting the inflation perception conundrum, Journal of Macroeconomics, vol. 67, artikel nummer 103264.
Andersen, Asger Lau, Emil Toft Hansen, Niels Johannesen og Adam Sheridan (2020), Social distancing laws cause only small losses of economic activity during the COVID-19 pandemic in Scandinavia, Proceedings of the National Academy of Sciences (PNAS), vol. 117(34), side 20468-20473.
Andersen, Henrik Yde, Alina Bartscher, Thomas Krause og Andreas Kuchler (2022a), Inequality and savings, Danmarks Nationalbank Economic Memo, nr. 11, september.
Andersen, Henrik Yde, Niels Lynggård Hansen og Andreas Kuchler (2022b), Pension wealth and macroeconomic stability, i T.M. Andersen, S.E.H. Jensen og J. Rangvid (red.), The Danish Pension System: Design, Performance, and Challenges, Oxford University Press.
Andersen, Henrik Yde, Marcus Bjerregaard Læssøe, Sigurd Anders Muus Steffensen, Erik Axel Grenestam og Alexander Meldgaard Otte (2023), Refinancing behaviour by homeowners in Denmark when mortgage rates rise, Danmarks Nationalbank Economic Memo, nr. 2, februar.
Andersen, Henrik Yde, Cecilie Walsted Gaarskær, Simon Juul Hviid, Asbjørn Westmose Klein, Rikke Rhode Nissen og Emil Toft Vestergaard (2025), Et boligmarked i to tempi, Danmarks Nationalbank Analyse, nr. 27, november.
Auclert, Adrien, Matthew Rognlie og Ludwig Straub (2020), Micro Jumps, Macro Humps: Monetary Policy and Business Cycles in an Estimated HANK Model, Working Paper, under revision for American Economic Review.
Auer, Johannes og Dominik Papies (2020), Cross-price elasticities and their determinants: a meta-analysis and new empirical generalizations, Journal of the Academy of Management Science, vol. 48, side 584-605.
Baker, Scott R., Nicholas Bloom og Steven J. Davis (2016), Measuring Economic Policy Uncertainty, Quarterly Journal of Economics, vol. 131(4), side 1593-1636.
Bentsen, Oliver H., Christoffer Jessen Weissert og Amy Yuan Zhuang (2025), Globale forhold driver høje fødevarepriser i Danmark og udlandet, Danmarks Nationalbank Analyse, nr. 20, september.
Bloom, Nicholas (2009), The Impact of Uncertainty Shocks, Econometrica, vol. 77(3), side 623-685.
Bloom, Nicholas (2014), Fluctuations in Uncertainty, Journal of Economic Perspectives, vol. 28(2), side 153-176.
Browning, Martin og Søren Leth-Petersen (2003), Imputing consumption from income and wealth information, Economic Journal, vol. 113(488), side F282-301.
Carroll, Christopher D., Edmund Crawley, Jiri Slacalek, Kiichi Tokuoka og Matthew N. White (2020), Sticky Expectations and Consumption Dynamics, American Economic Journal: Macroeconomics, vol. 12(3), side 40-76.
Coibion, Olivier og Yuriy Gorodnichenko (2012), What Can Survey Forecasts Tell Us About Information Rigidities?, Journal of Political Economy, vol. 120(1), side 116-159.
Crawley, Edmund og Andreas Kuchler (2023), Consumption Heterogeneity: Micro Drivers and Macro Implications, American Economic Journal: Macroeconomics, vol. 15(1), side 314-41.
Danmarks Nationalbank (2026), Robust dansk økonomi i et usikkert globalt landskab, Danmarks Nationalbank Analyse (Udsigter for dansk økonomi), nr. 5, marts.
Dimou, Maria, Marco Flaccadoro og Johannes Gareis (2025), The household saving rate revisited: recent dynamics and underlying drivers, udgivet som del af ECB Economic Bulletin, issue 8/2025.
Floden, Martin og Jesper Lindé (2001), Idiosyncratic Risk in the United States and Sweden: Is There a Role for Government Insurance?, Review of Economic Dynamics, vol. 4, issue 2, side 406-437.
Goldfayn-Frank, Olga og Johannes Wohlfart (2020), Expectation formation in a new environment: Evidence from the German reunification, Journal of Monetary Economics, vol. 115, side 301-320.
Hviid, Simon Juul og Andreas Kuchler (2017), Consumption and savings in a low interest-rate environment, Danmarks Nationalbank Working Paper, nr. 116, juni.
Kaplan, Greg, Benjamin Moll og Giovanni L. Violante (2018), Monetary Policy According to HANK, American Economic Review, vol. 108(3), side 697-743.
Kaplan, Greg, Giovanni L. Violante og Justin Weidner (2014), The Wealthy Hand-to-Mouth, Brookings Papers on Economic Activity, forår, side 77-138.
Krogh, Mathias S. og Giovanni Pellegrino (2025), Real Activity and Uncertainty Shocks: The Long and the Short of It, Working Paper ("Marco Fanno" Working Papers 0310).
Mann, Catherine L. (2025), Explaining the consumption gap, tale hos the Resolution Foundation.
McKay, Alisdair og Johannes F. Wieland (2021), Lumpy Durable Consumption Demand and the Limited Ammunition of Monetary Policy, Econometrica, vol. 89(6), side 2717-2749.
Partsch, Emil Holst, Ivan Petrella og Emiliano Santoro (2026), Consumer durables and monetary policy according to HANK, Journal of Monetary Economics, vol. 157, Artikel nummer 103883.
Pellegrino, Giovanni, Federico Ravenna og Gabriel Züllig (2021), The Impact of Pessimistic Expectations and the Effects of COVID-19-Induced Uncertainty in the Euro Area, Oxford Bulletin of Economics and Statistics, vol. 83(4), side 841-869.
Analysen består af en dansk og engelsk version. I tilfælde af tvivl om oversættelsens korrekthed gælder den danske version.
Redaktionen er afsluttet 13. marts 2026